欧冠官方网站入口工程物理学院陈威副教授课题组近期在胶体量子点(CQD)短波红外(SWIR)探测及成像领域取得系列突破。其中课题组与南方科技大学、慕尼黑工业大学(德国)等课题组合作在国际光电子学领域TOP期刊《ACS Photonics》上发表了最新成果,基于混合尺寸量子点(Hybrid-Size Quantum Dots)空穴传输层(HTL)成功实现了短波红外光电探测器的暗电流抑制与探测性能增强。该研究为低成本、高性能红外成像技术的产业化提供了关键突破。

图1混合尺寸量子点空穴传输层器件示意图
(1)量子点短波红外成像
短波红外成像技术在无人机、智能驾驶、智能传感、工业检测、生物成像和夜视系统等领域具有重要应用价值,但传统铟镓砷(InGaAs)半导体器件因成本高、制备复杂而限制了其广泛应用。近年来,胶体量子点因其可溶液加工、成本低廉、带隙可调和对短波红外波段具有良好的光响应特性,成为新一代短波红外探测材料的研究热点。其中,以硫化铅(PbS)为代表的量子点材料通过调控粒径可实现800–2000 nm范围内的吸收调节,适配多种成像需求,同时器件结构可通过多层优化和界面调控显著提升探测效率和降低暗电流密度。目前,全球有多个头部半导体企业正在投入、布局量子点短波红外探测与成像相关产业。
(2)混合尺寸量子点空穴传输层
在量子点探测器中,抑制暗电流密度是提升探测器件性能的关键。传统单尺寸量子点空穴传输层在制备过程中,因固态配体交换的体积收缩易产生微米级裂纹,导致电极与光活性层可能发生直接接触,引发漏电流。该过程还会在进一步的成像芯片集成中,造成各像素器件的工作表现(尤其是暗电流密度)不均匀,从而降低成像范围和质量。针对这一挑战,合作团队开发了一种混合小尺寸与大尺寸的硫化铅量子点的空穴传输层制备工艺,能有效原位释放空穴传输层薄膜形成过程中的应力,从而消除裂纹。合作团队利用掠入射小角X射线散射(GISAXS)证实混合尺寸量子点薄膜具有更高的堆积密度和短程无序特性,证实了应力的原位释放。并利用时间分辨荧光(TRPL)技术验证了混合尺寸量子点空穴传输层具有更低的缺陷密度分布、更高效的载流子提取能力。基于能带分析的研究结果表明,混合尺寸量子点空穴传输层能形成中间能带结构,兼顾电子阻挡与空穴传输。

图2(a-c)单一尺寸(S-QDs和L-QDs)和混合尺寸量子点(H-QDs)薄膜的形貌;(d-i)对应的GISAXS散射分析显示混合尺寸量子点薄膜的内部纳米结构分布均匀。
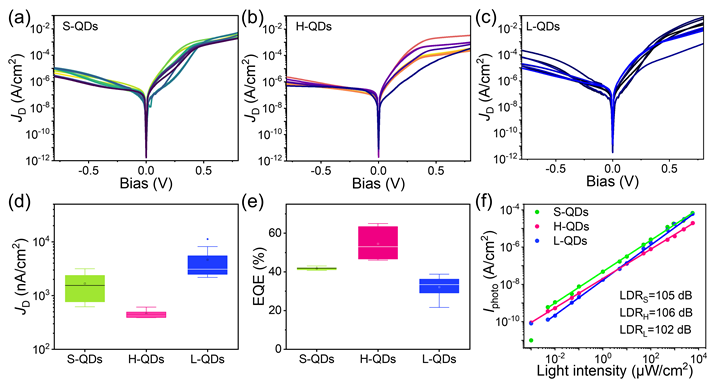
基于上述结构、缺陷和能级的优化,混合尺寸量子点空穴传输层将短波红外探测器的暗电流密度降至传统器件的50%以下,尤其是欧姆漏电得到了明显抑制。探测器的外量子效率(EQE)提升至65%,同时获得较高的探测率2.4 × 1012Jones。多组器件统计显示优化的器件暗电流密度得到了明显抑制,外量子效率和器件工作的线性动态区间得到了显著增强。

图3混合尺寸量子点空穴传输层对暗电流密度的抑制(a-d)和对外量子效率和其他探测性能的提升(e-f)。
(3)对于产业化的潜在贡献
该工作有效地优化了传统固态配体交换制备传输层工艺,与量子点成像芯片的制备流程兼容。混合尺寸量子点无需复杂预处理或新型配体,仅通过尺寸混合调控即可实现性能和一致性的优化,这对低成本红外成像芯片的大规模制造具有重要意义。
论文链接:https://pubs.acs.org/doi/10.1021/acsphotonics.4c01864
欧冠官方网站入口为论文第一完成单位,欧冠官方网站入口-湖北大学联合培养研究生陈思敏为论文的第一作者,陈威副教授为第一通讯作者,欧冠官方网站入口唐浩东助理教授、慕尼黑工业大学Peter Müller-Buschbaum教授和南方科技大学王恺教授为共同通讯作者。
近年来,陈威副教授课题组专注于胶体量子点短波红外探测与成像技术的研究,取得的系列成果已发表在行业内具有影响力的期刊上,包括ACS Applied Materials & Interfaces, Advanced Optical Materials, IEEE Electron Device Letters和The Journal of Physical Chemistry Letters等。
该系列成果得到了国家自然科学基金项目、深圳市优秀青年基金项目以及欧冠官方网站入口高层次人才科研启动项目的资助与支持。