近日,欧冠官方网站入口量子科学团队联合南方科技大学团队在国际上首次提出利用耗散操控量子扩展-局域转变的新机制,研究成果以“Dissipation-Induced Extended-Localized Transition ”为题于2024年5月21日在物理学领域国际顶级期刊《物理评论快报》上发表,欧冠官方网站入口工程物理学院揭建文助理教授与南方科技大学量子科学与工程研究院王玉成副研究员为共同通讯作者。
耗散(dissipation)在日常生活及自然界中随处可见,例如开水散热、电阻发热、大气湍流以及地震波衰减等,是指系统中的能量等属性通过不可逆过程逐渐减少的现象。量子系统与环境的接触无法避免地会引起耗散,这些耗散会导致量子退相干,因此耗散一般是需要被抑制的。然而,随着近年来各类量子平台及其操控技术的发展,人们发现有些设计出来的耗散不仅不会减弱量子相干性,还可用于诸如制备量子纠缠态和辅助量子纠错等任务,进一步丰富了量子信息处理的操控手段。
电子输运是凝聚态物理的核心研究之一,对于推动纳米电子学、量子计算、传感器技术和新型材料开发等研究具有重要意义。其中,安德森局域是影响电子输运的重要现象,是指当介质存在无序时(例如杂质、缺陷等),电子由于多重散射导致波函数局域化(localized),无法有效进行长距离传输,从而导致系统呈现绝缘性。当无序不存在时,电子状态在空间上是扩展的(extended),使得系统具有良好的导电性。这两种状态的转变,称为扩展-局域转变。

图1:电子在有序和无序环境中输运行为示意图,其波函数分别呈现扩展(extended)和局域(localized)特征。
在一些三维无序系统中,扩展和局域本征态可以同时存在,二者在能谱上的边界称为迁移率边。对于另一类“无序”系统,即空间势能呈准周期结构的系统,迁移率边还能在一维系统中存在。过去操控扩展-局域转变的方式主要有通过改变无序强度或粒子密度,进而改变迁移率边位置或费米能来影响系统的局域性质,这种方式不仅破坏了系统本身,并且对扩展性和局域性的操控效果有限。因此,如何在不改变系统情况下,实现对扩展-局域转变操控是非常重要的量子输运问题。另一方面,量子系统难以回避与环境接触导致的噪声,这些噪声会使系统退相干,呈现出耗散(dissipation)效应,因此耗散一般是需要被抑制的。然而随着近年来各类量子平台及其操控技术的发展,人们发现有些设计出来的耗散不仅不会减弱量子相干性,还可用于完成诸如制备量子纠缠和量子纠错等任务。而在无序系统,研究人员发现耗散可用于把局域相变成非局域相。

图2:耗散诱导的扩展-局域转变机制示意图。
科研团队首次提出将耗散应用于操控具有精确迁移率边的一维准周期系统。基于这类系统中扩展态和局域态相位结构的区别,通过计算系统的动力学及其稳态,发现选择合适的相位耗散可以驱动系统到完全扩展或完全局域的状态,且与初始状态无关。因此,该耗散可用来诱导扩展态和局域态之间的转变,从而调控粒子的输运行为。这些效果是诸如退相位、能量衰减、粒子数衰减等其他耗散类型不能达到的。因此,这种耗散和迁移率边的结合提供了一种诱导扩展-局域转变和操纵系统输运性质的新方法。该工作在量子模拟中也有潜在的应用,特别是在粒子动力学调控和量子态制备等方面。

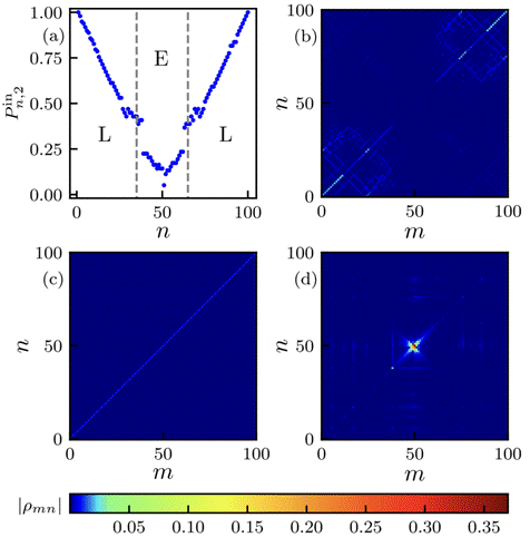
图3:扩展-局域转变的密度矩阵表征:(a)具有同相位的相邻两个格点对占比,其中n和m标记本征态,L和E分别表示局域本征态和扩展本征态,虚线表示迁移率边;当耗散相位分别取0(b),pi/2(c),pi(d)时,系统的稳态分别展现为局域态主导、最大混合态和扩展态主导。
值得一提的是,该成果是工程物理学院在高能量密度物理领域连续创新发现后(Physical Review Letters 127, 245002 (2021); 130, 185001 (2023); 131, 145003 (2023))在量子科学领域上取得了一项重要突破,再传佳音!
本研究得到了国家科技部重点研发计划、国家自然科学基金项目以及欧冠官方网站入口高层次人才科研启动项目的支持。
论文链接:
https://journals.aps.org/prl/abstract/10.1103/PhysRevLett.132.216301
稿件来源:工程物理学院 揭建文